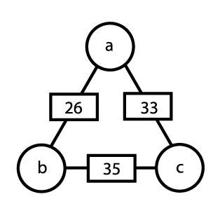
One of my nephews was working on an “arithmagon” puzzle. Here’s an example puzzle:
The idea is to solve for a, b, and c such that:
a + b = 26 a + c = 33 b + c = 35
and, I guess, the idea at his young age is to try different numbers ad-hoc until you find the ones that work.
Well, of course, that’s not how I think these should be done. 🙂
In general:
a + b = X a + c = Y b + c = Z
Three unknowns (a, b, c) and three linear equations; we can solve for the general case:
b = X - a c = Y - a
therefore
b + c = Z using b = X - a and c = Y - a: X - a + Y - a = Z X + Y - 2a = Z X + Y - Z = 2a a = (1/2) * (X + Y - Z)
So we get a = 12 for the original example shown at the start, and from that (using c = Y – a and b = X – a) c = 21 and b = 14.
Easy! Sorry for ruining all the puzzles for my nephew (once he can understand algebra).

Leave a comment